Zverejnené na úradnej tabuli mesta dňa : 02.05.2012
Zverejnené na internetovej stránke mesta dňa : 02.05.2012
Mesto Stará Ľubovňa
v y h l a s u j e
obchodnú verejnú súťaž v zmysle § 9a ods. 1 písm. a/ zák. SNR č. 138/1991 Zb. o majetku obcí v znení neskorších predpisov s použitím § 281 a nasl. Obchodného zákonníka na podávanie najvhodnejšieho návrhu a uzatvoreniu kúpnej zmluvy na predaj nehnuteľného majetku mesta.
PODMIENKY OBCHODNEJ VEREJNEJ SÚŤAŽE
1. Úvodné ustanovenie
1.1 Predaj nehnuteľnosti sa uskutoční v súlade s platnými právnymi predpismi, Zásadami hospodárenia a nakladania s majetkom mesta Stará Ľubovňa a uzneseniami Mestského zastupiteľstva mesta Stará Ľubovňa č. VII / 2011 zo dňa 29.11.2011
2. Predmet obchodnej verejnej súťaže.
LV č. 3696, vlastník Mesto Stará Ľubovňa, časť budovy súpisné č. 1073 postavenej na pozemku p. č. KN-C 3470/62, časť pozemku p. č. KN-C 3470/62 s výmerou cca 1000 m2, p. č. KN-C 3470/137 s výmerou 93 m2 a priľahlých plôch na pozemku p. č. KN-C 3470/1, zastavaná plocha podľa zamerania geometrickým plánom s výmerou cca 1800 m2, spolu s výmerou cca 2800 m2 v k. ú. Stará Ľubovňa za cenu 40,-- €/m2, t. j. 112 000,-- €
Podmienky kúpnej zmluvy na predaj predmetu obchodnej verejnej súťaže boli schválené uznesením mestského zastupiteľstva mesta Stará Ľubovňa č. X/2012 zo dňa 26.04.2012 a tvorí prílohu č. 1 vyhlásenia obchodnej verejnej súťaže (kópia uznesenia).
3. Časový plán súťaže
3.1 Vyhlásenie súťaže dňom: 02.05.2012 do 24.05.2012
3.2 Obhliadku nehnuteľností môžete vykonať v dňoch od 02.05.2012 do 24.05.2012, v čase od 8.00 h do 15.00 h v pracovných dňoch.
3.3 Ukončenie predkladania návrhov súťaže do 24.05.2012 do 13 00h.
3.4 Vyhodnotenie návrhov súťaže sa uskutoční na rokovaní mestskej rady, zásadne najneskôr do 2 mesiacov od ukončenia súťaže.
3.5 Oznámenie vybraného návrhu: do 10 dní od schválenia mestským zastupiteľstvom.
3.6 Uzatvorenie kúpnych zmlúv do 30 dní od schválenia predaja nehnuteľností mestským zastupiteľstvom mesta Stará Ľubovňa.
4. Súťažné podmienky obchodnej verejnej súťaže
4.1 Verejná obchodná súťaž sa začína dňom zverejnenia vyhlásenia obchodnej verejnej súťaže na úradnej tabuli Mesta Stará Ľubovňa dňa 02.05.2012.
4.2 Predávajúci upozorňuje kupujúceho, že si musí dať na vlastné náklady spracovať projektovú dokumentáciu k stavebnému povoleniu a tiež napojeniu na jednotlivé inžinierske siete a musí na vlastné náklady zabezpečiť odsúhlasenie projektovej dokumentácie s príslušnými správcami sietí. Od tohto projektu sa pri jeho realizácii môže investor odchýliť jedine po dohode s Mestom Stará Ľubovňa.
4.3 Náklady navrhovateľov spojené s účasťou v obchodnej verejnej súťaži sa nepriznávajú.
4.4 Podmienky realizácie zámeru:
a) zriadenie obchodného priestoru,
b) zachovanie funkčnosti zásobovania existujúcich predajní cez zásobovacie rampy,
c) využitie obostavaného priestoru terasy na priestor predajný,
d) efektívnejšie využitie verejného parkoviska na vytvorenie min. 50 verejne prístupných parkovacích miest (pre telesné postihnutia, matky s deťmi)
4.5 Účastník súťaže predloží:
a) rozpočet výstavby so špecifikáciou,
b) podnikateľský zámer budúceho využívania stavby a pozemku v súlade s územným plánom mesta, vrátane realizačných termínov a návrhom sankcií za nedodržanie termínov,
c) návrh kúpnej zmluvy,
d) referencie záujemcu v oblasti predmetu predpokladanej výstavby,
e) doklad o zaplatení manipulačného poplatku 33,- €
f) doklad o zaplatení finančnej zábezpeky vo výške 50 000,- €.
g) návrh riešenia parkovacích miest, vrátane počtu, so záväzkom ich výstavby,
h) doklad o oprávnení na podnikanie, nie starší ako 3 mesiace ku dňu uplynutia lehoty na predkladanie návrhov,
i) výpis z registra trestov nie starší ako 3 mesiace ku dňu uplynutia lehoty na predkladanie návrhov, že nebol účastník ani jeho štatutárny orgán ani člen štatutárneho orgánu právoplatne odsúdený za trestný čin,
j) potvrdenie sociálnej a príslušnej zdravotnej poisťovne, nie starší ako 3 mesiace ku dňu uplynutia lehoty na predkladanie návrhov, že účastník nemá evidované nedoplatky poistného na verejné zdravotné poistenie a sociálne poistenie,
k) potvrdenie miestne príslušného daňového úradu, nie starší ako 3 mesiace ku dňu uplynutia lehoty na predkladanie návrhov, že účastník nemá evidované daňové nedoplatky,
l) čestné vyhlásenie účastníka, že nie je v súdnom spore s vyhlasovateľom a neeviduje voči vyhlasovateľovi ku dňu uplynutia lehoty na predkladanie návrhov nevysporiadané záväzky z obchodného styku po lehote splatnosti,
m) písomný súhlas účastníka súťaže, že v prípade, že po vyhodnotení obchodnej verejnej súťaže nepríde k uzatvoreniu kúpnej zmluvy z dôvodov na strane úspešného účastníka súťaže, 30 % zloženej zábezpeky prepadne v prospech Mesta Stará Ľubovňa ako zmluvná pokuta a zvyšná časť sa vráti uchádzačovi bankovým prevodom na ním stanovený bankový účet.
4.6 Obsah zamýšľanej kúpnej zmluvy, na ktorom vyhlasovateľ trvá, je uvedený v prílohe vyhlásenia obchodnej verejnej súťaže ako príloha č. 2 - kúpna zmluva. Náhľad kúpnej zmluvy si môže uchádzač vyžiadať na odd. správy majetku mesta, Mestského úradu v Starej Ľubovni.
4.7 Vyhlasovateľ súťaže si vyhradzuje právo odmietnuť všetky ponuky, prerušiť, poprípade zrušiť súťaž.
4.8 O výsledku obchodnej verejnej súťaže budú účastníci písomne oboznámení do 10 dní odo dňa, keď mestské zastupiteľstvo uznesením schváli predaj úspešnému navrhovateľovi.
4.9 Úspešnému navrhovateľovi bude v lehote 10 dní po jeho schválení mestským zastupiteľstvom predložený, poprípade doplnený, aktualizovaný návrh kúpnej zmluvy a bude vyzvaný, aby v určenom termíne podpísal kúpnu zmluvu. Za odmietnutie podpísania kúpnej zmluvy sa považuje aj nečinnosť úspešného navrhovateľa obchodnej verejnej súťaže.
4.10 Forma podávania návrhov je písomná. Náležitosti návrhu sú v bode 7. týchto podmienok obchodnej verejnej súťaže.
4.11 Vyhlasovateľ si vyhradzuje právo odmietnuť všetky predložené návrhy, súťaž zrušiť, meniť podmienky súťaže, ukončiť súťaž ako neúspešnú alebo predĺžiť lehotu na predkladanie ponúk, predĺžiť lehotu na vyhlásenie výsledku súťaže.
4.12 Zmena podmienok súťaže sa vykoná spôsobom a prostriedkami, tak ako bola vyhlásená.
4.13 Záujemca má možnosť nahliadnuť do znaleckého posudku a výpisu uznesenia MsZ, ktoré sa nachádzajú na Mestskom úrade v Starej Ľubovni, v úradných hodinách na odd. správy majetku mesta.
4.14 Do súťaže nemožno zahrnúť návrh, ktorý sa predložil po lehote určenej v podmienkach súťaže.
4.15 V prípade zistenia nepravdivých údajov v súťažnom návrhu bude dotknutý navrhovateľ zo súťaže vylúčený a nebude jeho návrh hodnotený.
4.16 Navrhovateľ podaním ponuky potvrdzuje, že sa s predmetom obchodnej verejnej súťaže oboznámil, je mu stav predmetnej nehnuteľnosti dostatočne známy a taktiež bol ešte pred ukončením súťaže podrobne oboznámený s možnosťami budúceho využitia nehnuteľností.
4.17 Navrhovateľ nemá nárok na náhradu nákladov spojených s jeho účasťou v súťaži.
4.18 Nárok na úhradu nákladov spojených s účasťou na súťaži nevzniká ani účastníkovi, ktorý v súťaži zvíťazil.
5. Platobné podmienky
5.1 Kupujúci zloží zálohu na predmet kúpy vo výške 50 000,- €, ktorá je započítaná ako preddavok kúpnej ceny.
5.2 Kupujúci uhradí predávajúcemu zvyšok kúpnej ceny pri podpise kúpnej zmluvy.
5.3 V prípade, že účastník súťaže neuzatvorí kúpnu zmluvu v lehote 30 dní z akéhokoľvek dôvodu na strane uchádzača, vzniká vyhlasovateľovi nárok na zaplatenie zmluvnej pokuty vo výške 30 % zloženej zábezpeky, čím nie je dotknutý nárok vyhlasovateľa na náhradu prípadnej škody v plnom rozsahu.
5.4 Uchádzač je povinný pred uplynutím termínu na podanie ponúk zložiť na príjmový účet vyhlasovateľa finančnú zábezpeku vo výške 50 000,- €. Zaplatením sa rozumie pripísanie sumy na uvedený účet vyhlasovateľa. V prípade nezloženia zábezpeky v uvedenom termíne sa na ponuku uchádzača nebude prihliadať a nebude sa ani vyhodnocovať.
5.5 V prípade, ak bude uchádzač v súťaži neúspešný, finančná čiastka mu bude v hodnote 50 000,- € do 30 dní od vyhlásenia výsledkov vrátená.
5.6 Navrhovateľ pri podaní ponuky zaplatí manipulačný poplatok v pokladni mestského úradu v sume 33,- €.
5.7 Navrhovateľ musí v ponuke predložiť doklad, ktorým preukáže finančné krytie navrhovanej kúpnej ceny jedným z nasledujúcich spôsobov:
a) vyjadrením banky o schopnosti navrhovateľa plniť finančné záväzky (výpis z účtu navrhovateľa, nie starší ako tri mesiace preukazujúci jeho platobnú bilanciu),
b) úverový prísľub banky na celú sumu navrhovanej kúpnej ceny, ak bude kúpna cena financovaná úverom,
c) potvrdenie banky, že navrhovateľ má v prospech vyhlasovateľa do určeného termínu na svojom účte vinkulovanú sumu na zaplatenie navrhovanej kúpnej ceny.
6. Kritériá hodnotenia návrhov
6.1 Pre vyhodnotenie súťaže bude rozhodujúce plnenie kritérií:
a) podnikateľský zámer v súlade s územným plánom (architektonický a urbanistický návrh stavby a územia, riešenie parkoviska a počet vytvorených parkovacích miest, riešenie dopravného prístupu do územia)................................................................15%
b) zámer, vrátane realizačných. termínov a návrhom sankcií za nedodržanie ............15%
c) benefity (detské ihrisko, podpora pri budovaní infraštruktúry) ..............................10 %

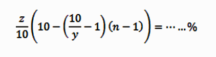
Vysvetlivky k vzorcu v bodoch a, b, c,:
z = počet percent hodnotenej časti
y = počet účastníkov súťaže
n = poradie hodnotenej časti
d) výška kúpnej ceny, spôsob a termín jej splatnosti....................................................60%

Vysvetlivky k vzorcu v bode d,:
z = počet percent hodnotenej časti
a = najvyššia cenová ponuka
b = všetky ponuky zadávané postupne vrátane ponuky „a"
Pre vyhodnotenie najúspešnejšieho uchádzača je určujúci sumár percent získaných pri vyhodnocovaní jednotlivých kritérií: Spolu % = sumár % všetkých
7. Podanie ponuky/návrhu
7.1 Návrhy do obchodnej verejnej súťaže sa posielajú v uzatvorenej obálke na adresu vyhlasovateľa : Mesto Stará Ľubovňa
Mestský úrad v Starej Ľubovni
Ulica obchodná č. 1
PSČ 064 01
s viditeľným označením - textom :
NEOTVÁRAŤ - NÁVRH NA ODKÚPENIE NEHNUTEĽNOSTÍ
7.2 Navrhovateľ na obálke ďalej uvedie názov nehnuteľnosti podľa čl. II ods. 1 týchto podmienok (a jej poradie, ak je viac nehnuteľností ).
7.3 Poverený zamestnanec mesta - podateľňa vyznačí na obálke „Prijaté : poradie návrhu, d7átum, čas a miesto prijatia návrhu spolu so svojím podpisom ".
7.4 Povinné náležitosti návrhu na odkúpenie :
- presné označenie navrhovateľa
- (fyzická osoba uvedie: meno, priezvisko, bydlisko, rodné číslo, tel. č., fyzická osoba,
- podnikateľ a právnická osoba uvedie: názov, sídlo, IČO, konajúcu osobu/ zástupcu, zápis v obchodnom registri, tel. č.)
- označenie nehnuteľnosti (jej identifikácia a poradie),
- cenový návrh,
- doklad o uhradení zábezpeky,
- záväzok, že od vyhlasovateľa odkúpi nehnuteľnosť tak ako stojí a leží za cenu ním navrhnutú, ktorú zaplatí najneskôr pri podpise kúpnej zmluvy,
- doklad o zaplatení manipulačného poplatku 33 €,
- súhlas s podmienkami súťaže a s návrhom znenia kúpnej zmluvy,
- ponuka/návrh musí byť podpísaný a datovaný (u právnickej osoby aj pečiatka a podpis konajúcej osoby).
7.5 V prípade, že návrh nebude spĺňať náležitosti vyššie uvedené, bude pri vyhodnocovaní ponúk zo súťaže vylúčený.
V Starej Ľubovni dňa 02.05.2012
PaedDr. Michal Biganič, v.r.
primátor mesta Stará Ľubovňa
- s1.pdf Súbor pdf - (70.12 kB)